
Σαρωτικό το ενδιαφέρον των μαθητών για εισαγωγή στα Πρότυπα Σχολεία, πώς κινήθηκαν οι φετινές βάσεις εισαγωγής και πού είχαμε ανατροπές.
Η ανακοίνωση των αποτελεσμάτων εισαγωγής στα Πρότυπα Σχολεία για την επόμενη σχολική χρονιά έφερε χαμόγελα στους μαθητές που είδαν τους κόπους τους να ανταμείβονται και να καταλαμβάνουν διαγράφοντας υφηλές επιδόσεις μια θέση στα θρανία του σχολείου της επιλογής τους.
Όπως κάθε χρόνο έτσι και φέτος το ενδιαφέρον της μαθητικής κοινότητας ήταν αυξημένο για τα Πρότυπα γεγονός που αποδεικνύει ότι αυτός ο εκπαιδευτικός θεσμός έχει αγκαλιαστεί πλήρως από γονείς και μαθητές καθώς αποδεδειγμένα το εκπαιδευτικό έργο στα Πρότυπα Σχολεία είναι αξιόλογο και δίνει στους μαθητές την ευκαιρία να ξεδιπλώσουν τα χαρίσματα, τα ταλέντα και τις δεξιότητές τους. Σύμφωνα με τα επίσημα στατιστικά που έδωσε στη δημοσιότητα το Υπουργείο Παιδείας στις εξετάσεις εισαγωγής για τα Πρότυπα διαγωνίσθηκαν συνολικά 11.127 μαθητές για 1.827 θέσεις στα 34 Πρότυπα Γυμνάσια και Λύκεια σε 16 Δευτεροβάθμιες Διευθύνσεις της χώρας.
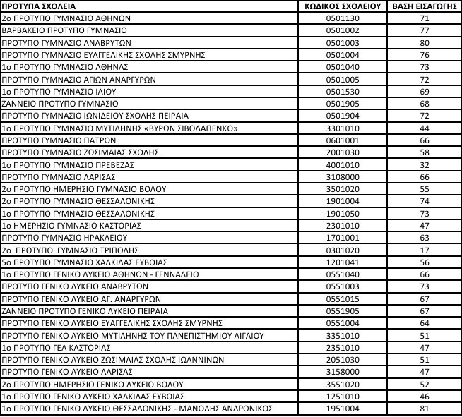
Σήμερα, η Διοικούσα Επιτροπή Πειραματικών Σχολείων έδωσε στη δημοσιότητα τη λίστα με τις φετινές Βάσεις Εισαγωγής που όπως θα διαπιστώσετε έκρυβε εκπλήξεις και ανατροπές για την πρωτιά στα Λύκεια. Στα Γυμνάσια σταθερά πρώτα τα Ανάβρυτα και έπεται η Βαρβάκειος όμως στα Λύκεια φέτος είχαμε ανατροπές καθώς το 1ο Πρότυπο Γενικό Λύκειο Θεσσαλονίκης Μανόλης Ανδρόνικος έπιασε κορυφή αφήνοντας στη δεύτερη θέση το Πρότυπο Γενικό Λύκειο Ευαγγελικής Σχολής.
Η λίστα με τις φετινές Βάσεις Εισαγωγής στα Πρότυπα Σχολεία 2025

Mπορείτε να κάνετε τις σχετικές συγκρίσεις με την περσινή χρονιά βλέποντας τη λίστα με τις Βάσεις Εισαγωγής του 2024

from Όλες Οι Ειδήσεις - Dnews https://ift.tt/VwZYb05
via IFTTT